
赵圣印,男,1972年6月生,博士,教授,博士生导师,新药分子设计与绿色合成课题组组长。本科和硕士毕业于沈阳药科大学,2000年7月于中国药科大学获药物化学专业博士学位,而后分别在中国科学院上海有机化学研究所和美国Case Western Reserve University化学系从事博士后研究,2006月进入ok138太阳集团工作。
研究生招生
招收《有机化学》和《应用化学》专业硕士研究生,招收《有机化学》专业博士研究生和博士后,本课题组提供优越的实验条件和研究生待遇,就业前景好,机会多,欢迎加入本课题组。联系电话:021-67792436,E-mail:syzhao8@dhu.edu.cn
教学工作
为本科生主讲《有机化学》、《有机化学实验》和《药物化学》等课程,为研究生主讲《高等有机化学实验》和《药物合成化学》,学生评教优秀。由清华大学化学系李艳梅教授牵头,合编出版本科教材一部,李艳梅、赵圣印、王兰英主编《有机化学》,普通高等教育“十一五”和“十二五”国家级规划教材,科学出版社,2011年1月第一版,2014年6月第二版。

研究方向
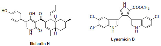
(1)具有潜在生物活性的天然产物的结构修饰与生物活性研究。主要集中在4-羟基-2-吡啶酮类天然生物碱冬青生菌素H(Ilicicolin H)和双吲哚吡咯类天然生物碱莱那霉素B(Lynamicin B)等的结构优化以及抗菌、抗真菌和抗肿瘤等生物活性研究。
(2)心脑血管疾病、抗肿瘤以及眼科用药等重大疾病治疗药物的仿制与新药申报。

科研项目
[1] 2015年上海市自然科学基金,批准号:15ZR1401400、《以海洋天然生物碱Lynamicin B为先导的Sortase A抑制剂的合成与生物活性研究》,2015年1月-2017年12月,在研,主持。
[2] 2013年中国科学院上海有机化学研究所生命有机化学国家重点实验室开放课题,《以Sortase A为靶点的吲哚杂环类化合物的合成及生物活性研究》,2014年1月-2015年12月,在研,主持。
[3] 2010年国家自然科学基金面上项目,批准号:2101072029、《以冬青生菌素H 为先导的药物设计、合成及生物活性研究》,2010/01-2013/12,已结题,主持。
[4] 2010年上海市自然科学基金《天然产物冬青生菌素H的结构优化与生物活性研究》,批准号:10ZR1400700,2010年4月-2013年3月,已结题,主持。
[5] 近5年内主持横向课题4项。
研究成果
至目前已发表和接受文章近50余篇,SCI收录论文近40篇,以第一发明人申请国家发明专利12项,授权6项,代表文章如下:
[1] Yulong An, Yunxia, Deng, Wei Zhang, Shengyin, Zhao*. Regioselective hetero-Michael addition of oxygen.Sulfur, and nitrogen nuclophiles to maleimides catalyzed BF3.OEt2. Synthesis, 2015, published online on March 5, DOI:10.1055/s-0034-1380404.
[2] Shengyin Zhao*, Biaoshuo Liu, Jing Huang, Shaohua Cheng, Yunxia Deng, ZhiyuShao.Thermal-induced dimerization cyclization of ethyl N-(styrylcarbamoyl)acetates: formation of 4-hydroxy-2(1H)-pyridone-3- carboxamidederivaives. Synthetic Communication, 2014, 44(14):2066-2075
[3] Yulong An, Zhiyu Shao, Jian Cheng, Shengyin Zhao*. Highly efficient aluminum trichloride catalyzed Michael addition of indoles and pyrroles to maleimides, Synthesis, 2013, 45(19): 2719-2726
[4] Hongmin Ma, Qiang Zhou, Yumin Tang, Zhuan Zhang, Yongsheng Chen, Haiyan He, Haixue Pan, Mancheng Tang, JufangGao, Shengyin Zhao, Yasuhiro Igarashi, Gongli Tang*. Unconventional origin and hybrid system for construction of pyrrolopyrrole moiety in Kinostatin biosynthesis. Chemistry & Biology, 2013, 20(6):796-805
[5] 李慧,周强,唐玉敏,赵圣印*,唐功利*. 越野他汀生物合成介导的海洋小单胞菌中一个新天然产物的发现, 有机化学, 2013, 33(6):1326-1332.
[6] Shengyin Zhao*, Haiquan Zhang, Dengqing Zhang, Zhiyu Shao. N-methylation of NH-containing heterocycles with dimethyl carbonate catalyzed by TMEDA. Synthetic Communication.2012, 42(1): 128-135.
[7] Shengyin Zhao*, Yanwu Yang, Haiquan Zhang, Yue Yun, Mei Fan.Synthesis and cytotoxicity of novel 3-amino-4-indolylmaleimides. Archive of Pharmacal Research, 2011, 34(4):519-526.
[8] Hongyu Liang, Dengqing Zhang,Yu Yue, Zhe shi, Shengyin Zhao*. Synthesis and biological activity of some 1,3-dihydro-2H-3-benzazepin-2-ones with piperazine moiety as bradycardic agents. Archiv Der Pharmazie-Chemistry in Life Science, 2010, 343(2):114-119
EMAIL:syzhao8@dhu.edu.cn